| [ 索引号 ] | 115001047659370498/2026-00012 | [ 发文字号 ] | |
| [ 主题分类 ] | 城乡建设(城乡管理) | [ 体裁分类 ] | 行政许可;结果查询、公示 |
| [ 发布机构 ] | 大渡口区城市管理局 | ||
| [ 成文日期 ] | 2026-02-14 | [ 发布日期 ] | 2026-02-14 |
| [ 索引号 ] | 115001047659370498/2026-00012 |
| [ 发文字号 ] | |
| [ 主题分类 ] | 城乡建设(城乡管理) |
| [ 体裁分类 ] | 行政许可;结果查询、公示 |
| [ 发布机构 ] | 大渡口区城市管理局 |
| [ 发布日期 ] | 2026-02-14 |
| [ 成文日期 ] | 2026-02-14 |
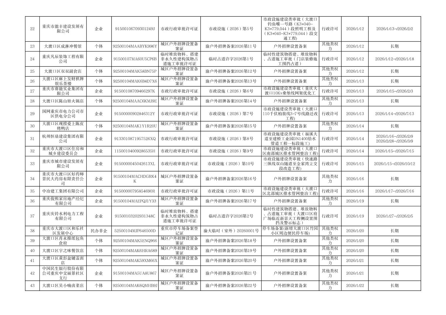
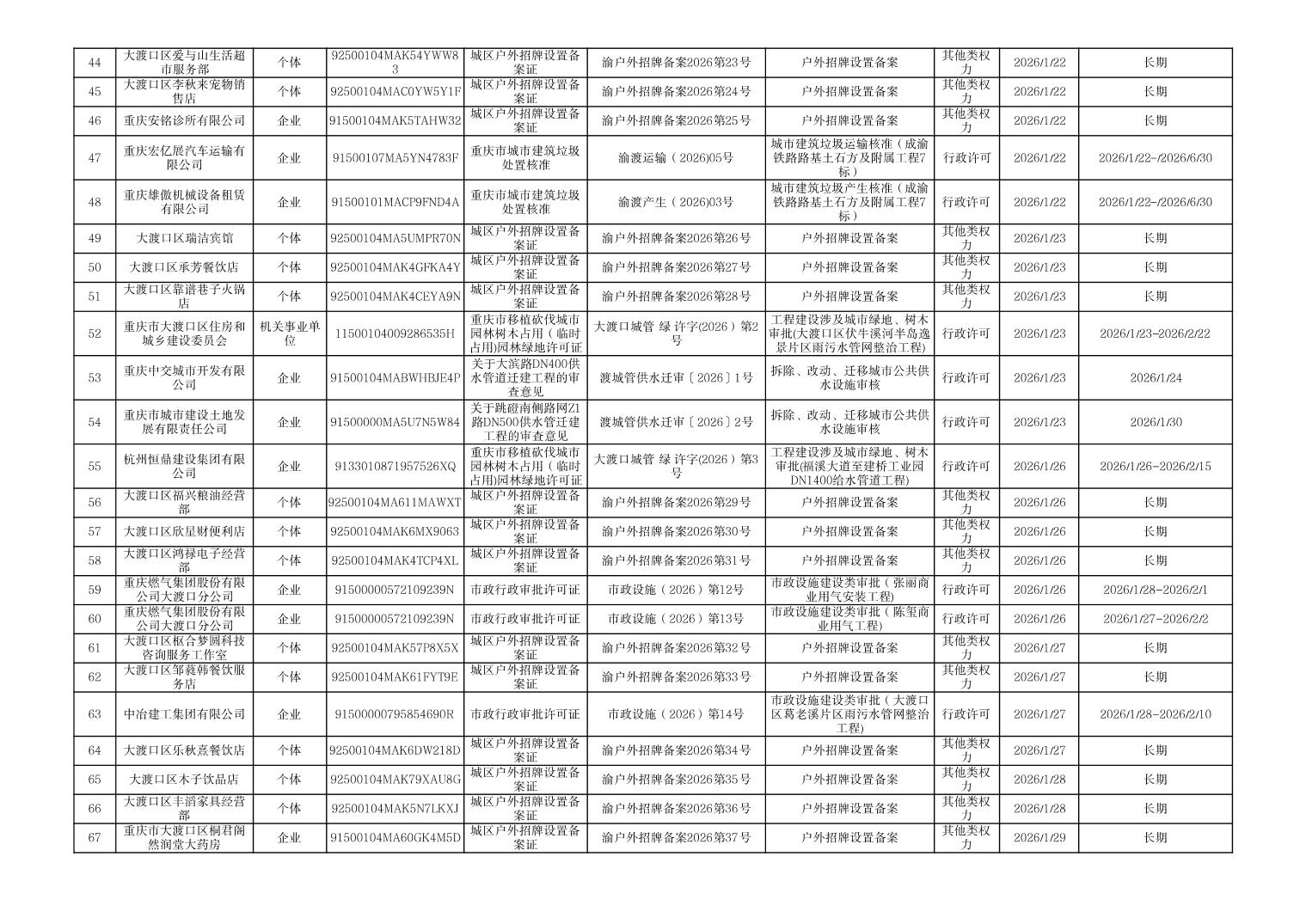
大渡口区城市管理局行政许可和其他对外管理服务事项办理结果公示(2026年1月4日—2026年1月31日)公示版本